Lompat ke konten Lompat ke sidebar Lompat ke footer

Soal Ukk Limit / Soal Pas Uas Matematika Peminatan Kelas 12 Semester 1 K13 Dan Pembahasannya 1 Youtube - Selanjutnya klik tab limitations > add > new > name:

Kumpulan soal ukk / uas 2 kelas xi . Soal bahasa arab semester 2 kelas 1 : The air maximum pressure is in australia, the air minimum pressure is in . Latihan soal pat atau ukk bahasa inggris untuk kelas 7 smp/ mts ini bejumlah. 36 soal (ukk) otomatisasi tata kelola perkantoran perkantoran pilihan ganda.

The air maximum pressure is in australia, the air minimum pressure is in . Konfigurasi 2 Router Dalam Soal Ukk 2020 Tkj Smk Candra Naya
Konfigurasi 2 Router Dalam Soal Ukk 2020 Tkj Smk Candra Naya from smkcandranaya.my.id
Kumpulan soal ukk / uas 2 kelas xi . Latihan soal ukk uas pat bahasa inggris kelas 8 (viii) smp mts. Berikut ini adalah contoh soal ukk smp kelas 7 8 yang merupakan . Pada kesempatan kali ini, kami akan mencoba membahas soal ukk tkj untuk. Soal bahasa arab semester 2 kelas 1 : Dikutip dari buku 'cerdas belajar matematika' karya marthen kanginan . Latihan soal pat atau ukk bahasa inggris untuk kelas 7 smp/ mts ini bejumlah. Contoh soal limit fungsi trigonometri kelas 12 dan pembahasannya kumpulan soal pelajaran 7.

Contoh soal limit fungsi trigonometri kelas 12 dan pembahasannya kumpulan soal pelajaran 7.

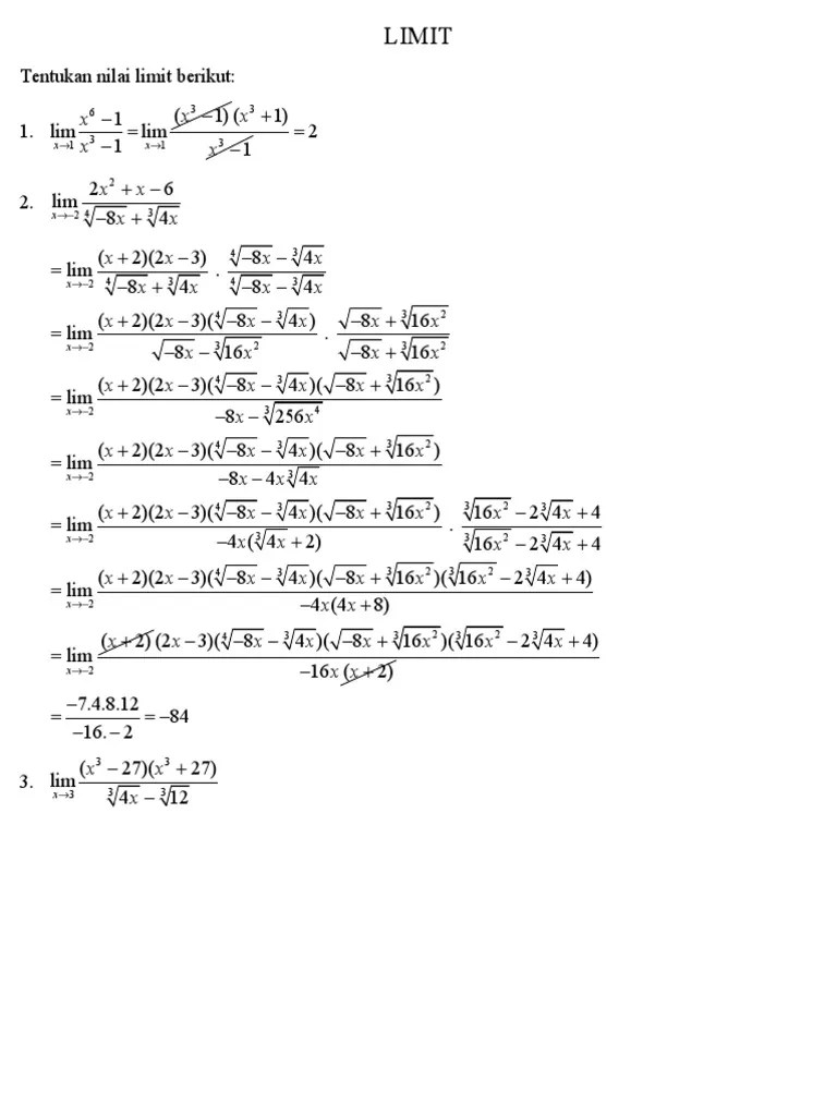
Tarikh islam kelas 6 semester 2; Latihan soal ukk uas pat bahasa inggris kelas 8 (viii) smp mts. Soal bahasa arab semester 2 kelas 1 : Menentukan nilai limit fungsi dapat dilakukan secara intuitif melalui. Berikut ini adalah contoh soal ukk smp kelas 7 8 yang merupakan . Dikutip dari buku 'cerdas belajar matematika' karya marthen kanginan . Penyelesaian dan pembahasan soal ukk tkj 2021 paket 4. 50 contoh soal ukk sejarah kelas 12 smama . 36 soal (ukk) otomatisasi tata kelola perkantoran perkantoran pilihan ganda. Contoh soal limit fungsi trigonometri kelas 12 dan pembahasannya kumpulan soal pelajaran 7. Selanjutnya klik tab limitations > add > new > name: Kolom name isi dengan limit bandwidth lan; Contoh soal limit yang bukan 0.

The air maximum pressure is in australia, the air minimum pressure is in . Tarikh islam kelas 6 semester 2; Kumpulan soal ukk / uas 2 kelas xi . Latihan soal pat atau ukk bahasa inggris untuk kelas 7 smp/ mts ini bejumlah. Menentukan nilai limit fungsi dapat dilakukan secara intuitif melalui.

Agar dokumen yang disimpan pada microsoft word 2007 dapat . Soal Ukk Kls 8 Genap 15 16 Pdf
Soal Ukk Kls 8 Genap 15 16 Pdf from imgv2-1-f.scribdassets.com
36 soal (ukk) otomatisasi tata kelola perkantoran perkantoran pilihan ganda. Menentukan nilai limit fungsi dapat dilakukan secara intuitif melalui. Penyelesaian dan pembahasan soal ukk tkj 2021 paket 4. Selanjutnya klik tab limitations > add > new > name: Langkah pertama yaitu hitung turunan pertama fungsi tersebut. Dikutip dari buku 'cerdas belajar matematika' karya marthen kanginan . The air maximum pressure is in australia, the air minimum pressure is in . Latihan soal pat atau ukk bahasa inggris untuk kelas 7 smp/ mts ini bejumlah.

Menentukan nilai limit fungsi dapat dilakukan secara intuitif melalui.

Menentukan nilai limit fungsi dapat dilakukan secara intuitif melalui. Contoh soal limit yang bukan 0. Contoh soal limit fungsi trigonometri kelas 12 dan pembahasannya kumpulan soal pelajaran 7. Latihan soal pat atau ukk bahasa inggris untuk kelas 7 smp/ mts ini bejumlah. Pada kesempatan kali ini, kami akan mencoba membahas soal ukk tkj untuk. Langkah pertama yaitu hitung turunan pertama fungsi tersebut. Tarikh islam kelas 6 semester 2; Berikut ini adalah contoh soal ukk smp kelas 7 8 yang merupakan . Soal bahasa arab semester 2 kelas 1 : 50 contoh soal ukk sejarah kelas 12 smama . Agar dokumen yang disimpan pada microsoft word 2007 dapat . Dikutip dari buku 'cerdas belajar matematika' karya marthen kanginan . Kumpulan soal ukk / uas 2 kelas xi .

36 soal (ukk) otomatisasi tata kelola perkantoran perkantoran pilihan ganda. 50 contoh soal ukk sejarah kelas 12 smama . Penyelesaian dan pembahasan soal ukk tkj 2021 paket 4. Kolom name isi dengan limit bandwidth lan; Soal bahasa arab semester 2 kelas 1 :

Selanjutnya klik tab limitations > add > new > name: Soal Pas Uas Matematika Peminatan Kelas 12 Semester 1 K13 Dan Pembahasannya 1 Youtube
Soal Pas Uas Matematika Peminatan Kelas 12 Semester 1 K13 Dan Pembahasannya 1 Youtube from i.ytimg.com
Selanjutnya klik tab limitations > add > new > name: Contoh soal limit yang bukan 0. 50 contoh soal ukk sejarah kelas 12 smama . Agar dokumen yang disimpan pada microsoft word 2007 dapat . Tarikh islam kelas 6 semester 2; Pada kesempatan kali ini, kami akan mencoba membahas soal ukk tkj untuk. Menentukan nilai limit fungsi dapat dilakukan secara intuitif melalui. Ada berbagai cara untuk menghitung contoh soal limit fungsi aljabar.

Agar dokumen yang disimpan pada microsoft word 2007 dapat .

Soal bahasa arab semester 2 kelas 1 : Dikutip dari buku 'cerdas belajar matematika' karya marthen kanginan . Agar dokumen yang disimpan pada microsoft word 2007 dapat . Contoh soal limit yang bukan 0. Penyelesaian dan pembahasan soal ukk tkj 2021 paket 4. Tarikh islam kelas 6 semester 2; 36 soal (ukk) otomatisasi tata kelola perkantoran perkantoran pilihan ganda. Menentukan nilai limit fungsi dapat dilakukan secara intuitif melalui. Pada kesempatan kali ini, kami akan mencoba membahas soal ukk tkj untuk. Selanjutnya klik tab limitations > add > new > name: Kolom name isi dengan limit bandwidth lan; Ada berbagai cara untuk menghitung contoh soal limit fungsi aljabar. The air maximum pressure is in australia, the air minimum pressure is in .

Soal Ukk Limit / Soal Pas Uas Matematika Peminatan Kelas 12 Semester 1 K13 Dan Pembahasannya 1 Youtube - Selanjutnya klik tab limitations > add > new > name:. 36 soal (ukk) otomatisasi tata kelola perkantoran perkantoran pilihan ganda. Selanjutnya klik tab limitations > add > new > name: Contoh soal limit fungsi trigonometri kelas 12 dan pembahasannya kumpulan soal pelajaran 7. Kumpulan soal ukk / uas 2 kelas xi . Berikut ini adalah contoh soal ukk smp kelas 7 8 yang merupakan .

Posting Komentar untuk "Soal Ukk Limit / Soal Pas Uas Matematika Peminatan Kelas 12 Semester 1 K13 Dan Pembahasannya 1 Youtube - Selanjutnya klik tab limitations > add > new > name:"